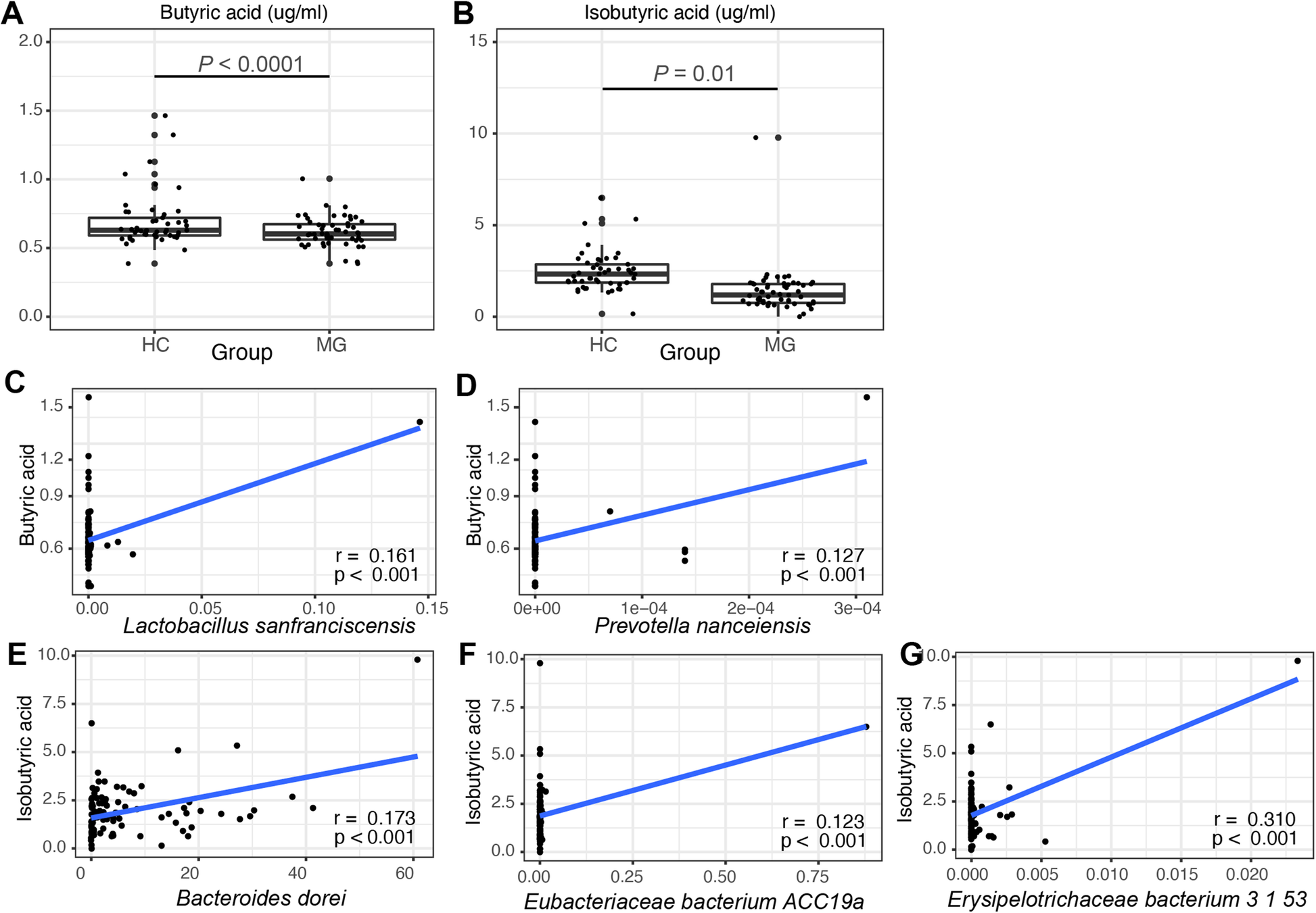
Fig. 5

Difference in the level of SCFAs between MG and HC, and the correlations of SCFAs with the enriched species in two groups. Distribution of the levels of butyric acid (A) and isobutyric acid (B). The p value of t test showed significant difference between the two groups. Correlation between the level of butyric acid and Lactobacillus sanfranciscensis (C) and Prevotella nanceiensis (D); the level of isobutyric acid and Bacteroides dorei (E), Erysipelotrichaceae bacterium 3_1_53 (F), and Eubacteriaceae bacterium ACC19a (G). Pearson correlation (r) and p value (p) were denoted. The lines represented the linear regression line